加满能跑850公里!怪不得这些车型全球各国都在
近日,长安CS75、东风风神相继曝光了氢燃料电池新车申报图,在以纯电动汽车为主的国内新能源车市场,长安、东风两家车企为什么要特立独行?氢燃料电池汽车国内外发展现状如何?和传统锂离子电池相比,到底谁才是未来方向?
因为氢气可以通过电解水而得到,所以氢燃料电池汽车一度被神化,神奇到加水就能跑。但现实中的氢燃料电池汽车工作原理可没那么简单。
传统燃油车通过燃料直接燃烧做功,为车辆提供动力;而氢燃料电池汽车虽然有“燃料”二字,但却不是利用燃料(氢气)燃烧来获取能量,而是以氢燃料电池产生的电能为电机供电,通过电机来驱动车辆。
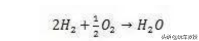
燃料电池是利用氢气(H2)和氧气(O2)发生化学反应过程中的电荷转移来形成电流,本质是水电解的“逆”装置,主要由阳极、阴极、电解质三部分组成,其中氢电极为阳极、氧电极为阴极。
氢气进入燃料电池的阳极后,在催化剂的作用下,一个H2(氢分子)解离为2个H+(氢离子),同时释放出2个电子。
而在电池的另一端,氧气进入电池阴极后,在催化剂的作用下,氧分子(O2)和氢离子(H+)与通过外电路到达阴极的电子发生反应生成水(H2O)。
而在化学反应的过程中,为了让电荷(电子)在外电路移动形成直流电,所以这一过程最关键的技术就是利用特殊的“电解质薄膜”将氢离子(H+)和电子分离开。氢离子体积小,可以穿越薄膜孔洞,被吸引到薄膜另一侧与氧分子结合。而电子则无法穿过薄膜被剥离出来,最终通过外电路形成直流电。
所以只要源源不断地向燃料电池注入氢气和氧气,就可以连续输出电流。
从上文我们了解到,氢燃料电池的主要原料为氢气和氧气,其中氧气很好获得,空气中就含有大量氧气;但氢气的制取就很复杂,而且氢气在常温常压下,是一种极易燃烧的气体,存储和运输都是一个技术难题。
1、氢气的制取
目前工业制取氢气的方法虽然众多,包括电解水、水煤气法制氢气、太阳能光电化学分解热化学制氢制氢、焦炉煤气冷冻制氢等,但目前还没有一种价格低廉、无污染、技术优良的工艺方法。
2、氢气的存储、运输
氢气无色无味。密度小,是世界上已知最轻的气体;半径小,在高温、高压下,氢气甚至可以穿过很厚的钢板;另外氢气非常活跃,稳定性极差,泄露后易发生燃烧和爆炸。
所以制取出来的氢气如何安全的存储和运输,是一个至今没能很好解决的技术性难题。
四种储氢技术对比
目前主流的氢气存储法有高压气态储氢、低温液态储氢、固态合金储氢、有机液态储氢四种,但四种方法各有明显的优缺点,距离氢燃料电池汽车领域还有很长路要走。
1、清洁无污染,氢燃料电池的“燃料”是氢气和氧气,两者发生化学反应后生成水,是一种无污染,零碳排放的发电装置。
2、可再生能源,相比汽油、柴油等不可再生能源,氢主要以化合物的形式存在于多种物质中,比如氢氧化合物(水)和碳氢化合物,而通过电解水就可以获得源源不断的氢气,是一种可再生能源。
3、和普通的锂电池纯电动汽车相比,氢燃料电池汽车补充燃料时间短,仅需3-5分钟,和燃油车加汽油时间差不错。
4、续航时间长,相比传统纯电动汽车300-400公里的续航,氢燃料电池汽车的续航一般在500公里左右,而最新一代丰田Mirai,一次加氢的续航里程最高可达850公里。
氢燃料电池在汽车领域内的研究最早是加拿大的巴拉德公司,其在1979年就开始搭建商业化的氢燃料电池电堆,并在1992年就做了一个90kw的车用电堆给大巴用。
而在1994年,戴姆勒推出了基于梅赛德斯-奔驰MB 100运输车的NECAR 1氢燃料电池汽车,续航里程约130km。丰田的Mirai到了2014年才推出。
相比欧美国家,韩本和韩国进军氢燃料电池汽车领域或许比较晚,但却是最忠实的拥护者,目前消费者可以买到的几款量产氢燃料电池乘用车也出自两国。
最知名的氢能源电池汽车当属丰田的Mirai,但在丰田之前,韩国现代于2013年便推出了ix35 FCV。
美国氢燃料电池汽车发展现状
在氢燃料电池汽车普及方面,美国算是走在前列,丰田Mirai在美国近几年的年销量均突破了1500辆,是Mirai最大的市场。另外美国还拥有全球最大的燃料电池叉车企业Plug Power,目前已有超过2万台燃料电池叉车,进行了600万多次加氢操作。
在加氢站建设方面,美国是目前全球最多的,全美分布了67座加氢站。另外美国燃料电池汽车使用量也非常高,全年液氢市场需求量的14%都被用于燃料电池车。
日本氢燃料电池汽车发展现状
日本由于资源的短缺,所以对氢能和燃料电池的重视程度和推广力度在全球来看算是最大的。
2014年,日本制定了“氢能与燃料电池战略路线图”,提出了实现“氢能社会”目标分三步走的发展路线图:到2025年要加速推广和普及氢能利用的市场;到2030年要建立大规模氢能供给体系并实现氢燃料发电;到2040年要完成零碳氢燃料供给体系建设。截止2019年,日本燃料电池乘用车保有量超3000台,燃料电池大巴预计2020年增加到100台。从目前趋势来看,预计到2050年,日本燃油汽车将全面向燃料电池汽车过渡。
欧洲氢燃料电池汽车发展现状
2019年,欧洲燃料电池和氢能联合组织 (FCH-JU)发布《欧洲氢能路线图:欧洲能源转型的可持续发展路径》报告。
欧盟对氢能产业链的设想愿景
报告指出,欧盟要实现脱碳目标,实现能源转型就需要大规模的氢能,将氢能提到了新高度。按照规划,到2050年欧洲能够产生大约2250太瓦时(TWh)的氢气,相当于欧盟总能源需求的1/4。大约可以为4200万大型汽车、170万辆卡车、25万辆公共汽车和超过5500辆火车补充燃料。
韩国氢燃料电池汽车发展现状
对待韩国氢燃料电池汽车,韩国的步伐可能是迈得最快的。
韩国在2019年1月发布“氢能经济发展路线图”,按照规划,韩国的氢燃料电池汽车累计产量由2018年的2000余辆增到2040年的620万辆,氢燃料电池汽车充电站也将由14个增至1200个。
在氢燃料电池汽车发展方面,我国也一直不落后。早在2016年,中国标准化研究院资源与环境分院和中国电器工业协会发布的《中国氢能产业基础设施发展蓝皮书(2016)》首次提出了我国氢能产业的发展路线图。对我国中长期加氢站和燃料电池车辆发展目标进行了规划。
另外在《中国制造2025》明确提出燃料电池汽车发展规划,更是将发展氢燃料电池提升到了战略高度。
但即便如此,我们在氢能技术、氢能产业等方面,与国外先进水平还有一定差距。
另外与丰田、现代不同的是,我国氢燃料电池汽车主要分布在商用车领域,主要为城市客车、公交与厢式运输车,乘用车少之又少。
荣威950 FULL CELL算是国内第一款氢燃料电池乘用车,并且早在2014年便推出市场。但因为生不逢时,氢能产业不成熟,加氢站少,再加之政策主要偏向传统锂离子纯电动汽车,所以荣威950 FULL CELL几乎没人买。而且在荣威950 FULL CELL之后很长一段时期内,国内车企再没有出现第二款氢燃料电池乘用车。
直到2020年,随着广汽Aion LX Fuel Cell(650km)登陆工信部新车目录,才预示着国内第二款量产氢燃料电池乘用车的到来。而这次曝光的CS75 PHEV和东风风神AX7,算是国内第三款和第四款量产氢燃料电池乘用车。
我国虽然在氢燃料电池乘用车方面走得比较慢,但氢燃料电池商用车却发展顺利。相关数据显示,从2016年开始,国内氢燃料电池商用车产销都保持着不错增长态势,截止2019年保有量超过6000辆,已达成《节能与新能源汽车技术路线图》中到2020年实现5000辆燃料电池汽车规模的阶段性目标。
目前随着国家对氢燃料电池汽车的重视以及各地氢能项目的陆续开工投产,我国的氢能和燃料电池汽车产业链将逐步完善,关键技术也将取得重大突破,未来值得期待。
从国家信息中心的报告来看,现阶段传统纯电动汽车所使用的电池主要有液态锂离子电池、铅酸电池和镍氢电池等,但受限于能量密度和充电时间等,发展已经遭遇瓶颈。
据悉,大众和丰田已经不在传统锂离子电池上投入,主要依托比亚迪、宁德时代等供应商,提供传统锂离子电池,而他们则会把主要精力放在下一代动力电池的研发上。包括金属空气电池、全固态锂离子电池和燃料电池等。
但一个新技术从研发到技术成熟再到大面积商用,是一个漫长的过程,所以在很多技术难点没有突破之前,氢燃料电池汽车能否替代传统纯电动汽车还不好说。
所以在下一代动力电池没有实现重大技术突破之前,传统锂离子纯电动汽车仍然是新能源汽车的主流,而且会存在很长一段时间。
相比传统锂离子电池纯电动汽车,氢燃料电池汽车在续航、加氢时间等方面确实存在诸多优势,但从目前来看,氢气的生产、制造和运输等环节仍然是技术难题。
从国内外氢燃料电池汽车的发展现状来看,我们在氢能技术、氢能产业等方面与国外发达国家尚有差距,如果再不发力,将来一些核心技术可能受制于人。好消息是我们看到政策的倾斜和越来越多车企投入到氢燃料电池汽车的研发和生产上。
假以时日,氢燃料电池汽车能够取得重大技术突破,那么氢燃料电池汽车走近普通老百姓的日子就真的不远了。
